Published Work

Publications


While the lab started recently, it has built on earlier work that the PI has done measuring class perceptions, which are a necessary foundation to studying class-based discrimination. Those publications are listed below. The lab aims to publish work in top social science journals across four major areas:

  1. Measuring and addressing class-based discrimination (i.e. povertyism)
  2. Improving how we measure public opinion of the poor and uneducated
  3. Understanding the attitudes and behaviors of homeless people
  4. Addressing #firstgen issues and representation in the academy

* = student author when the project started; five-year impact factors listed for journals outside political science


1. Measuring and Addressing Class-Based Discrimination

Paul Christensen, Cindi SturtzSreetharan, Charles Crabtree, and Charles T. McClean. 2025. "Selective Development Goals: Examining Japan's SDG Implementation Gaps." Social Science Japan Journal, 28 (2).

DOI: 10.1093/ssjj/jyaf021

Charles Crabtree, Jae Yeon Kim, S. Michael Gaddis, John B. Holbein, Cameron Guage*, and William M. Marx*. 2023. "Validated Names for Experimental Studies on Race and Ethnicity." Nature Scientific Data, 10 (130). (IF: 8.501)

DOI: 10.1038/s41597-023-01947-0

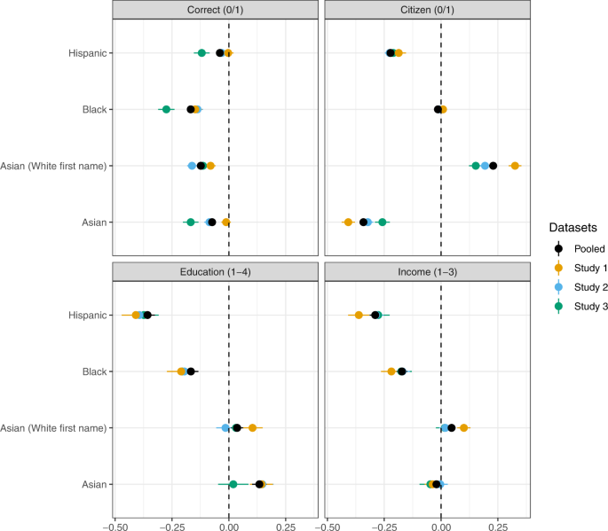
Charles Crabtree, S. Michael Gaddis, John B. Holbein, and Edvard Nergård Larsen. 2022. "Racially Distinctive Names Signal Race and Class." Sociological Science. (IF: 4.58)

DOI: 10.15195/v9.a18

Public perceptions across names used to denote racial/ethnic groups
Public perceptions across names used to denote racial/ethnic groups